728x90
Corner일 경우 모든 방향으로 window를 움직일 경우, intensity의 변화가 크다.

Moravec corner detector Harris corner detector
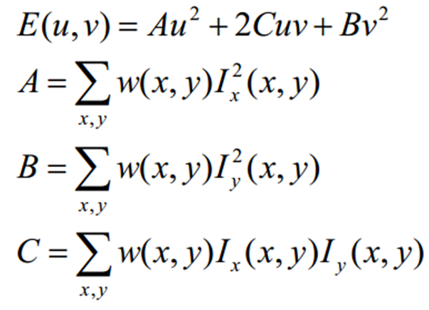
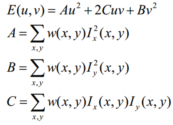
변화율을 보기 위해 다음 식을 이용한다.


Taylor’s expansion을 이용하여 풀면









'영상처리 > 기초' 카테고리의 다른 글
| 이미지 다운 샘플링 (4) | 2022.12.23 |
|---|---|
| Human Hand Modeling from Surface Anatomy (0) | 2022.12.13 |
| 영상추적 (0) | 2022.12.13 |
| Edge검출 (0) | 2022.12.13 |
| 영상처리 사칙연산 (0) | 2022.12.13 |