영상처리/기초
Corner detector
yimstar9
2022. 12. 13. 04:58
반응형
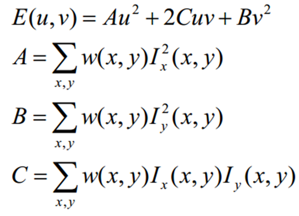
Corner일 경우 모든 방향으로 window를 움직일 경우, intensity의 변화가 크다.

Moravec corner detector Harris corner detector
변화율을 보기 위해 다음 식을 이용한다.


Taylor’s expansion을 이용하여 풀면








